Just as individuals create household budgets to allocate their monthly earnings across different categories such as food, clothing, and entertainment, companies and businesses do the same. Both need to determine how much money is available and how much can be spent without causing financial difficulties. However, before discussing the company budgeting process, it is essential to understand the concept of capital.
Let me explain the concept of capital goods with an example. Suppose you go to a restaurant, order food, pay for it, and then consume it. You paid for a certain benefit once, and you received the benefit at that time. If you want to enjoy the same food the next day, you will have to pay again. The restaurant will only serve you the dishes of your choice once you make a new payment. This type of spending can be categorized as operational expense. Once the payment is made, the associated benefit is received and consumed. To enjoy the benefit again, you must pay again. Such spending is referred to as operational expense.
On the other hand, certain expenditures provide benefits over a longer period of time. For example, if you buy a car, you pay for it once, but you benefit from its usage for many years. You "consume" the benefit of the car over multiple periods, without needing to pay for its usage repeatedly. This type of spending is referred to as capital expenditure.
Capital budgeting is the process companies use to make decisions and allocate funds for various capital investments or projects that generate cash flows over more than a year.
Why is this important? Capital projects typically involve large outlays, so making the wrong decision can have severe consequences for a company’s balance sheet. Simply put, a wrong decision could erode the company's asset base and reduce shareholder value.
The exact process of capital budgeting varies from company to company, but we can outline some generic principles and steps.
Step 1: Idea generation for investment projects
Step 2: Analyze individual proposed projects
Step 3: Plan the implementation of selected projects
Step 4: Monitor and audit the actual results of the project compared with the planned outcomes.
The focus of this discussion is on Step 2, which involves analyzing the associated cash flows and profitability of the proposed projects to ensure that the most value-accretive projects are recommended for selection. Fundamentally, capital budgeting is a cost-benefit analysis.
All capital projects can be grouped into one of the following categories:
The last point is to be specially noted. When analyzing the NCF (net cash flow which by definition is total after tax cash flow) we should not be including the finance charges in the NCF. This is because the NCF is discounted using “required rate of return” to compute the NPV of the project. Financing charges are reflected in the discount rate already. So by including the financing cost in the NCF would double count the financing cost. Consequently the resultant NPV will be an under estimate.
The required rate of return that is used for discounting the NCF should be the one which the investors would normally require in order to be induced to invest in that project for its given riskiness. Depending on the project riskiness, the required rate of return would go up or down. If a project is more risky, the investor would demand a higher return and thus the analyst should be using a higher required rate of return as discount factor.
The discount rate is also referred as “opportunity cost of capital”, “cost of capital”, “hurdle rate” etc. Suppose the company can invest in many projects of a given risk level. The highest return that it can generate by investing in those possible opportunities happens to be 8%. Hence this 8% will act as a benchmark for the company or its opportunity cost. By not investing in that particular project it will be giving up on the 8% return. Therefore when it has to decide on where to invest its capital, it will always seek to invest in a project which will give it at least 8% or more than 8 % return on its investment. Thus 8% becomes the opportunity cost of capital or simply cost of capital for this company. It will use 8% as discount rate, provided the riskiness of the project it is trying to evaluate is similar to the benchmark project.
Below are some common mistakes to avoid when making investment decisions for capital projects:
Sunk Cost: A sunk cost is an expenditure that has already been incurred in the past and cannot be recovered. For example, suppose an E&P company spent $10 million last year to purchase an exploration license for a drilling prospect. Today, the company must decide whether to drill and invest an additional $100 million. Should the historical expenditure (sunk cost) be included in the analysis? The answer is a resounding no. The sunk cost is gone and should not influence the decision. The focus must be on the $100 million to be invested and its associated benefits. Only current and future cash flows should affect the decision, not past cash flows.
Opportunity Cost: Opportunity cost represents the value of the benefits you forgo by not pursuing the next best alternative. When analyzing a project, the opportunity cost of not pursuing the best alternative should always be included. For instance, if you own a parcel of land and plan to construct a commercial complex on it that could generate a cash flow of $100 million, you must evaluate the opportunity cost. What other uses exist for the land?
If a warehouse company offers to lease the land for $90 million and a residential developer offers to buy it for $110 million, the opportunity cost is $110 million. Since the commercial complex generates less value than the opportunity cost, the project should not be pursued.
Incremental Cash Flow: Incremental cash flow is the additional cash flow generated as a result of undertaking a project. It is calculated as:
Incremental Cash Flow = Total Cash Flow (with the project) – Total Cash Flow (without the project).
Only incremental cash flows should be considered in project evaluation.
Externalities: A project should be evaluated holistically, considering its impact on the company's other projects and future undertakings. For instance, launching a new product may cannibalize the market for an existing product, reducing cash flow from the current product line. Externalities can also extend beyond the company, such as increased environmental pollution caused by the proposed project. All associated costs and benefits, both internal and external, should be incorporated into the project analysis.
Cash Flow Patterns – Conventional vs. Unconventional Cash Flow: A conventional cash flow pattern starts with negative cash flows during the early periods due to initial investments, followed by positive cash flows as the project begins to generate revenue.
In contrast, unconventional cash flows occur when cash flow changes sign multiple times. For example, a project may start with negative cash flows during the initial investment period, turn positive once revenue begins, and later turn negative again if further investments are required, followed by positive cash flows again.
Projects with unconventional cash flows pose challenges in interpreting metrics such as NPV and IRR. In some cases, there may even be multiple IRRs, making the analysis more complex.
All capital investment appraisals require a comparison of the return (profit earned on the capital invested in a project) with alternative investment opportunities. This comparison necessitates the formulation of indices or indicators to evaluate and compare two or more projects.
It is essential to use multiple indicators to assess a project proposal for two main reasons. First, the financial and economic profitability of a project cannot be fully represented by a single indicator. Second, no single indicator is universally applicable to all situations.
Two key profitability indicators are Net Present Value (NPV) and Internal Rate of Return (IRR). Additionally, other commonly used indicators for capital budgeting include payback period, discounted payback period, profitability index (PI), maximum exposure, and value-to-investment ratio (VIR). Each of these indicators will be discussed in detail below.
An individual would prefer to receive a dollar today rather than the same dollar a year from now because a dollar today holds greater value than a dollar in the future. This is due to the time value of money. Net Present Value (NPV) is a measure that accounts for the time value of money when evaluating investment cash flows.
Two projects may have identical Net Cash Flows (NCF) but differ in their NPV. This makes NPV a more accurate and reliable measure of value compared to NCF

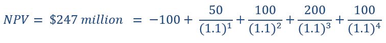
Let’s clarify this with a quick example. Suppose your company is evaluating a drilling program that requires an initial investment of $100 million. The field is expected to start production from Year 1, with projected cash revenues of $50 million, $100 million, $200 million, and $100 million over the next four years. Assume there are no additional expenditures and no taxes (all figures in this example are after-tax). The management has asked you to recommend whether to proceed with the project or not.
Here’s how you should approach the analysis:
First, calculate the Net Cash Flow (NCF) for each year. Net Cash Flow is simply the difference between cash inflows and cash outflows for that year.

Here’s how we calculate the value of the cash revenue for this project:
The Present Value (PV) of cash inflows is calculated as follows:

The company should only invest $100 million today if the project can generate a value greater than what it is giving up, which is $100 million in today’s terms. The present value of the project's cash inflows is $347 million.
The value created by the project, compared to the initial capital outlay, is:
247million USD=347million USD−100million USD
Thus, the company should proceed with the project since it adds $247 million to the company's value in today's terms.
We can also calculate the Net Present Value (NPV) directly from the net cash flow stream using a 10% cost of capital (information provided by management):

Observations:
Decision Rule for NPV:
In this case, the NPV is positive at $247 million, meaning the project increases the company’s value and is recommended for execution.
4o.
ACCEPT THE PROJECT IF NVP > 0
REJECT THE PROJECT IF NVP < 0
Satisfied with your analysis, you confidently recommend the project to your boss and the company management.
The next day, your boss asks, “If we go ahead with this project, when can we expect to recover our initial investment? And what return will it generate?”
Don’t worry! Let’s work through this step by step so that you can explain it confidently next time.
To address your boss's question, we need to discuss another key profitability indicator: Internal Rate of Return (IRR).
Before delving into IRR, let’s revisit the relationship between NPV and the discount rate. As you may already understand, higher discount rates result in lower NPVs. This is due to the NPV formula, where each period’s net cash flow is divided by the discount rate raised to the power of ‘n.’ In essence, NPV is inversely proportional to the discount rate.
Now, let us plot the curve of NPVs calculated at various discount rates, with NPV on the y-axis and the discount rate on the x-axis, for this specific drilling project.

As expected, we observe a downward-sloping NPV curve. As the discount rate increases, the NPV decreases. This is generally true in most cases. However, in some instances, the NPV profile may first slope upward and then downward, which occurs in the case of unconventional cash flows (previously discussed—a cash flow series with multiple sign changes).
There are a few noteworthy aspects of the NPV vs. discount rate graph:
At a specific discount rate, the NPV curve crosses the x-axis. This represents the discount rate at which the NPV equals zero.
This implies that if your project’s IRR exceeds its cost of capital (discount rate), the project is profitable and value-accretive. Conversely, if the IRR is lower than the cost of capital, the project is value-depleting.
Additionally:
It is important to note that the discount rate cannot be chosen arbitrarily. It must reflect the project's cost of capital, which is closely tied to the project’s risk.
How is IRR Calculated?
We can determine a project’s IRR by examining the NPV profile on the graph. IRR is defined as the discount rate at which the NPV equals zero.
In other words, by adjusting the discount rate in the NPV formula until the NPV equals zero, we can identify the IRR of the project.

Remember your boss’s question! He asked about the rate of return from the drilling project. In essence, he was inquiring about the IRR of the project. Since we already know the NPV of the project is positive at a 10% discount rate, the IRR must exceed 10% (as only a higher discount rate could reduce the NPV to zero). Based on our prior calculations and the plotted NPV profile for this project, we can conclude that the IRR is 82%.
From the IRR formula, it’s clear that calculating IRR is not a straightforward one-step process. The equation for determining IRR is a polynomial equation, requiring either a spreadsheet or a financial calculator to compute accurately. Alternatively, it can be estimated using the trial-and-error method by continuously adjusting the discount rate until the NPV is close to zero. (In Excel, you can use the GOAL SEEK function or the IRR function for this calculation.)
Given that the internal rate of return (IRR) for this project is 82%, it remains profitable at a 10% discount rate. Even if the cost of capital or the opportunity cost of capital increases to 15% or 20%, the project will still be profitable, although the profitability will decrease compared to a 10% cost of capital. However, if the cost of capital exceeds 82%, for instance reaching 90% (a scenario not typically encountered in practice), the project will no longer be profitable. At a 90% cost of capital, the project's net present value (NPV) will become negative, as demonstrated in the NPV profile graph.
We will now proceed to address the second question: "When will the project recover its initial investment?"
The payback period is the time required for a project to generate enough cash flow to recover its initial investment. In other words, it represents the duration needed to recoup the invested capital. This metric is straightforward to calculate—simply accumulate the project’s net cash flows (NCF) from the start to the end of the project's life. The payback period is determined by the point at which the total cumulative NCF reaches zero for the first time. Typically, a project will have an initial investment upfront, which means the cumulative graph will start below the x-axis.
Now, let's calculate the cumulative NCF for the drilling project we have been discussing.

At the start of the project, the initial investment is $100 million, resulting in a cumulative net cash flow (NCF) of -$100 million. By the end of the first year, the cumulative NCF improves to -$50 million, and by the end of the second year, it reaches +$50 million. This indicates that the initial investment of $100 million is fully recovered within two years: the first $50 million is recovered in Year 1, and the remaining $50 million is recovered in Year 2. Following the recovery of the total $100 million investment in Year 2, a positive cash balance of $50 million remains. Therefore, the payback period is two years.
If we assume that cash flows occur evenly throughout the year, the payback period can be calculated with greater precision. In Year 2, the total NCF is $100 million, and the remaining amount to recover at the start of the year is $50 million. This amount would be recovered halfway through the year. Hence, the actual payback period is 1.5 years.
This concept is often easier to understand when visualized on a cumulative NCF graph (cumulative NCF plotted against time on the X-axis). The payback period corresponds to the point where the cumulative NCF line intersects the X-axis. Observing the graph, it is evident that the cumulative NCF line intersects the time axis precisely midway between Year 1 and Year 2.initial investment?"

The payback period, as an indicator, provides limited insight into project profitability. It does not measure profitability but instead serves as a gauge for project risk. A project with a longer payback period is considered riskier compared to one with a shorter payback period.
Payback is often used as a threshold criterion for project approvals. Different organizations establish their acceptable payback periods based on their risk appetite and capacity. For example, a company with a higher tolerance for risk may set a higher payback threshold (e.g., 5 years), whereas a more risk-averse company may set a lower threshold (e.g., 2 years).
The general rule is to accept projects that meet the payback threshold. When selecting projects based solely on payback criteria, the one with the shorter payback period is typically preferred, while the one with the longer payback period is rejected.
However, there are limitations to the payback indicator. While a shorter payback period suggests lower risk, it does not account for net cash flow (NCF) or net present value (NPV) beyond the payback period. For instance, a project with a shorter payback period may have lower NCF and NPV in comparison to one with a longer payback period.
Additionally, the payback period does not consider the time value of money, which is critical to accurately assessing project risk. Since it relies on cumulative NCF, the actual payback period in today's monetary terms may be longer than the one calculated using the cumulative NCF method.
To address this limitation, the time value of money can be incorporated by calculating the discounted NCF for each period and determining the cumulative discounted NCF. The point at which the cumulative discounted NCF exceeds zero for the first time is the discounted payback period. When visualized on a graph, the discounted payback period is longer than the regular payback period. While the discounted payback period accounts for the time value of money, it still fails to consider NCF beyond the payback period.

Before presenting your findings to your boss, it is essential to address some of the drawbacks of the payback period indicator. To explore this further, let’s work through an exercise.
Copyright © 2026 Geoenergetix - All Rights Reserved.